
+7 (951) 825-94-10
+7 (951) 825-59-30
Плуги
Плуг ПНЛ 8*40
Плуг ППЛ (9+2)*35
Плуг ПНЛ 9*40
Плуг ПНЛ 3*35
Плуг ПНЛ 4*35
Плуг ПНУ 5*35

Описание:
Преимущество плугов :
Высокая стойка - 870 мм
усиленная рама и стойки из стали 09Г2С.
прочные и износостойкие механизмы заглубления
Износостойкие рабочие органы собственного производства из стали 30Mn B5 и 09Г2С.
Резиновые колеса 11,5 /80*15,3, что позволяет избегать налипания грязи и облегчает регулировку.
Рама усиленная накладками из стали 09Г2С
Окрашивание производиться в 3 слоя:
Грунтование – 1 слой
Окраска полиуретановая – 2 слоя.
Все плуги работают вне борозды.
Заменили следующие элементы:
колеса 9*16 на резиновые колеса11,5/80*15,3, что позволяет избегать налипания грязи .
Стойки усилили трубой 120*80*8
Цапфа под гайку М 48*2, тем самым увеличили прочность тела на прицепном устройстве.
Технические характеристики:







Плуг ППЛ (9+2)*35

Описание:
Технические характеристики:

Плуг ПНЛ 9*40

Описание:
Преимущество плугов :
-Высокая стойка - 870 мм.
-Усиленная рама и стойки.
-Прочные и износостойкие механизмы заглубления.
-Износостойкие рабочие органы.
Заменили следующие элементы:
колеса 9*16 на резиновые колеса11,5/80*15,3 оба, что позволяет избегать налипания грязи и облегчает регулировку.
Рама усиленная накладками из стали 09 Г2с и все элементы обварены сваркой.
Стойка 9 ставиться вперед, что позволяет увеличить расстояние между бороздой на 30 см. Если по каким-либо причинам трактор не тянет, просто уберите переднюю стойку и получите плуг 8*40. Ширина захвата 9*40=3 600м
Стойка плуга из стали 09Г2с и усилена .
Привлекательная цена в отличии от Прицепного плуга под трактор на 350 л.с
Рабочие органы собственного производства из стали 30MnB5 и 09Г2С.
Все плуги нашего производства вне борозды.
Окрашивание производиться в 3 слоя:
-Грунтование – 1 слой
-Окраска полиуретановая – 2 слоя.
Технические характеристики:



Плуг ПНЛ 3*35

Описание:
Плуг ПНЛ -3 под трактор - 80 л.с
Прочный и износостойкий механизм заглубления
Резиновое колеса 6,5-10, что позволяет избегать налипания грязи и облегчает регулировку.
Рама усиленная накладками из стали 09Г2С
Полувинтовой отвал дает 100% заделку
Окрашивание производиться в 3 слоя:
Грунтование – 1 слой
Окраска полиуретановая – 2 слоя.
Технические характеристики:





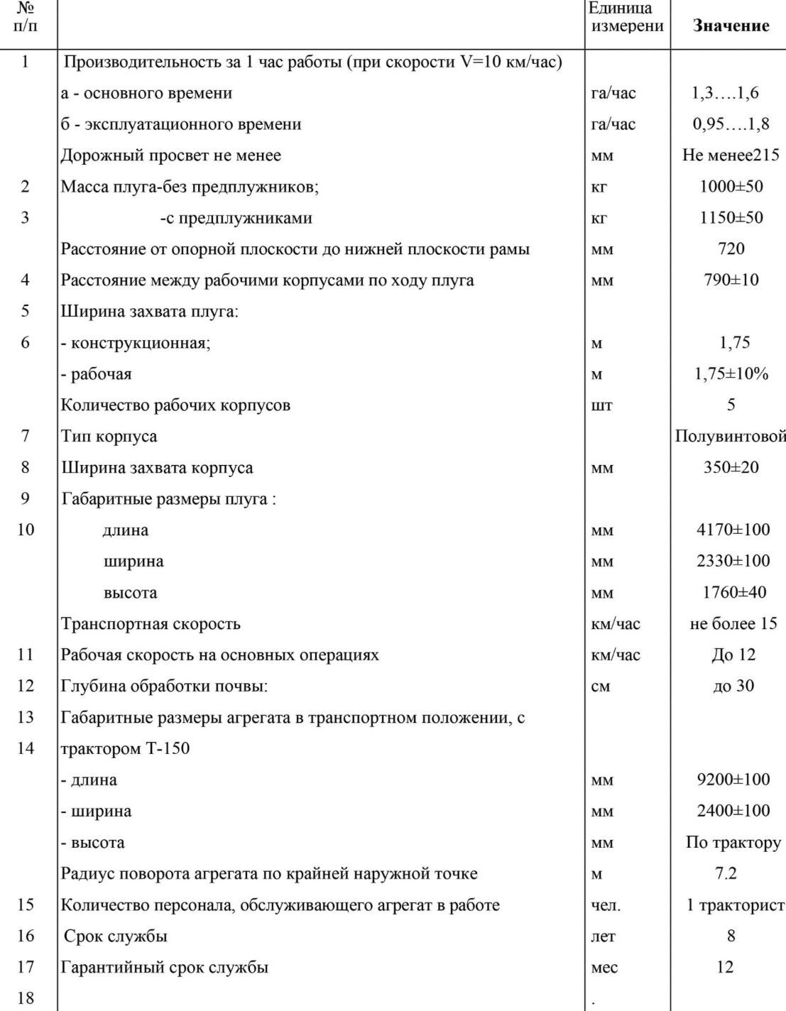
Плуг ПНЛ 4*35

Технические характеристики:





Плуг ПНУ 5*35

Высокая стойка - 870 мм
усиленная рама и стойки из стали 09Г2С.
прочные и износостойкие механизмы заглубления
Износостойкие рабочие органы собственного производства из стали 30Mn B5 и 09Г2С.
Резиновые колеса 11,5 /80*15,3, что позволяет избегать налипания грязи и облегчает регулировку.
Рама усиленная накладками из стали 09Г2С, все внутренние элементы на раме обварены накладками.
Окрашивание производиться в 3 слоя:
Грунтование – 1 слой
Окраска полиуретановая – 2 слоя.
Все плуги работают вне борозды.
Технические характеристики:





Больше новостей и видеоматериалов в нашем телеграмм канале!
2024 © ООО "АГРОПОЛЕ".